Tortish mashinasining ishlashini sinash sohasida an'anaviy usullar asosan tebranish sinovi, shovqin sinovi va boshqalarni o'z ichiga oladi. Biroq, kuchlanish to'lqin shakllarini to'g'ri ushlash va operatsion ma'lumotlarni tahlil qilish vosita holatini baholashning asosidir. Keng ko'lamli takomillashtirishdan so'ng, NIDEC Lift motor jamoasi tortish mashinalarining orqa elektromotor kuchi printsipiga asoslangan FFT to'lqin shaklini tahlil qilish tizimini mustaqil ravishda ishlab chiqdi - murakkab tashqi datchiklarga muhtoj bo'lmasdan, u faqat signal konvertatsiyasi orqali sinus to'lqinlarni hosil qilishi mumkin, bu esa tortish mashinasini sinovdan o'tkazish uchun yanada samarali va aniq echimni ta'minlaydi.
Xatolarni aniqlash mudofaa chizig'ini kuchaytirish uchun bir nechta algoritmlar
NVH tahlil vositalarining yadrosi bo'lgan Fast Furier Transform (FFT) algoritmi nosozliklarni aniqlash uchun klassik vositadir. Dvigatelning ishlashi paytida to'plangan induksiyalangan elektromotor kuchning vaqt-domen signallarini chastota-domen signallariga aniq aylantira oladi. Doimiy magnit sinxron motorlarning haqiqiy ishlashida doimiy magnitlarni noto'g'ri joylashtirish, teskari joylashtirish va ofset yopishtirish kabi nosozliklar induktsiyalangan elektromotor kuchning nozik o'zgarishlarida aks etadi, bu esa ma'lum chastotalarda g'ayritabiiy signallarni hosil qiladi. Quvvatli signalni tahlil qilish qobiliyati bilan FFT algoritmi ushbu nozik o'zgarishlarni aniq qayd etishi va xato tashxisi uchun muhim maslahatlar berishi mumkin.
NIDEC Lift motorini sinovdan o'tkazish yechimining ikki yadroli
Uskuna yadrosi: yuqori namuna olish tezligidagi ma'lumotlarni yig'ish kartasi
Signalning "buzilishi" ning oldini olish uchun biz apparat asosi sifatida yuqori namuna olish tezligi va yuqori aniqlikdagi ma'lumotlarni yig'ish kartalarini tanlaymiz. U real vaqt rejimida dvigatelning ishlashi paytida orqa elektromotor kuchining kichik kuchlanish o'zgarishlarini ushlab turishi, analog signallarni aniq raqamli signallarga aylantirishi va keyingi tahlil uchun "yuqori sifatli xom ma'lumotlar" ni taqdim etishi mumkin.
Tanlangan ma'lumotlarni yig'ish kartasi talablarga javob berishini ta'minlash uchun ME jamoasi uni sinab ko'rdi. Tahlil shuni ko'rsatadiki, tanlangan ma'lumotlarni yig'ish kartasi mukammal barqarorlikka ega, A, B va C uchta o'lchovchi orasida GRR taxminan 0,072% ni tashkil qiladi.
Dasturiy ta'minot yadrosi: mustaqil ravishda ishlab chiqilgan FFT to'lqin shaklini tahlil qilish tizimi
Ushbu tizimning asosiy afzalligi "professional ma'lumotlar" ni "ko'rinadigan, tahlil qilinadigan va foydalanish mumkin" test natijalariga aylantirishdadir. Uning uchta asosiy funktsiyasi vaqt domenidan chastota domeniga qadar to'liq o'lchovli tahlilni qamrab oladi:
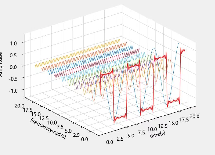
• Induced Voltage Time-Domain Chart: Haqiqiy vaqtda kuchlanish signallarining vaqt o'tishi bilan o'zgarish egri chizig'ini ko'rsatadi, kuchlanish o'zgarishlarini va tepalik paydo bo'lish tugunlarini intuitiv ravishda ko'rsatadi, bir qarashda signalning bir lahzali o'zgarishini aniq qiladi;
• Lissajous figuralari tahlili: turli signallarning fazaviy munosabatlari orqali Lissajous raqamlarini hosil qiladi, tortish mashinasining ish barqarorligini tezda baholaydi va bir qarashda g'ayritabiiy faza og'ishlarini aniqlaydi;
• Spektrni chuqur tahlil qilish: vaqt-domen signallarini chastota-domen ma'lumotlariga aylantiradi, har bir chastota komponentining nisbatini aniq ko'rsatadi va garmonik shovqin kabi potentsial muammolarni osongina topadi.
"Ma'lumotlarni ko'rish" dan tashqari, tizim "natijalarni etkazib berishga" ko'proq e'tibor qaratadi. Uchta asosiy sinov ko'rsatkichlari tortish mashinasining ishlashini himoya qiladi:
1. Pik taqsimot darajasi: kuchlanish cho'qqilarining taqsimlanishini hisoblaydi, cho'qqilar oqilona diapazonda yoki yo'qligini baholaydi va g'ayritabiiy cho'qqilar tufayli vosita yo'qolishining oldini oladi;
2. To'lqin shaklining tasodifiy bo'lmagan darajasi: Haqiqiy to'lqin shakli va standart sinus to'lqini o'rtasidagi farqni solishtiradi, to'lqin shakli buzilishini miqdoriy beradi va motorni ishga tushirish uchun aniq asosni beradi;
3. To'lqin shakli THD tahlili: umumiy harmonik buzilishlarni hisoblab chiqadi, harmoniklarning kuchlanish to'lqin shakllariga ta'sirini intuitiv ravishda aks ettiradi va tortish mashinalarining mahsulot sifatini optimallashtirishga yordam beradi.
Yutuqlar namoyishi
Mustaqil ravishda ishlab chiqilgan FFT to'lqin shaklini tahlil qilish tizimi orqali vosita NVH ishlashini ko'p o'lchovli sinovdan o'tkazdi, bu mahsulot sifati bilan bog'liq muammolarni sezilarli darajada kamaytirdi va etkazib berishdan oldin vosita sifatini ta'minladi. 2024 yil dekabr oyidan hozirgi kungacha taxminan o'n minglab motorlar sinovdan o'tkazildi, sinovdan o'tgan motorlarning birinchi o'tish rentabelligi 99,5% dan yuqori bo'ldi. Ushbu ma'lumotlarni to'plash va tahlil qilish NIDEC lift motorining sifati ishonchliligini va ushbu motor FFT ishlashini tekshirish dasturini ishlab chiqishning ahamiyatini to'liq ko'rsatadi.
Nihoyat, NVH printsipini talqin qilish, innovatsiyalarni joriy etish, yuqori tezlikda ma'lumotlarni yig'ish, ko'p o'lchovli parametrlarni tahlil qilishdan to'liq miqyosdagi ommaviy mahsulotni sinovdan o'tkazishgacha, bu FFT to'lqin shaklini tahlil qilish tizimi an'anaviy test cheklovlarini buzadi. Dvigatel zavodining sifatini tekshirish, kundalik foydalanish va texnik xizmat ko'rsatish monitoringi yoki nosozliklar tashxisi uchun bo'ladimi, u batafsil va keng qamrovli sinov yordamini ta'minlashi mumkin, liftni tortish mashinalari sanoatida vosita ish faoliyatini samarali, xavfsiz va ishonchli sinovdan o'tkazishga yangi impuls kiritadi!




